
| Uo max, [mV] | 20 | 30 | 95 | 775 |
| Af | 195 | 130 | 41 | 5 |
| R2, [Ω] | 20 | 30 | 100 | 1000. |
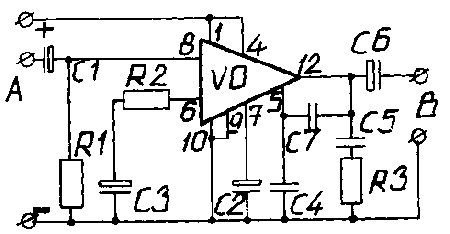
| 1. | Печатна платка 9702 | 1 бр. |
| 2.VD | Интегрална схема MBA810OAS (UL1481) | 1 бр. |
| 3. С1 | Кондензатор 1µF | 1 бр. |
| 4. С2 | Кондензатор 47µF/16V | 1 бр. |
| 5. СЗ | Кондензатор 100µF | 1 бр. |
| 6. С4 | Кондензатор (2,2÷5,6) nF | 1 бр. |
| 7. С5 | Кондензатор 100 (82) nF | 1 бр. |
| 8. С6 | Кондензатор 470µF | 1 бр. |
| 9. С7 | Кондензатор (300÷470) pF | 1 бр. |
| 10. R1 | Резистор 100kΩ | 1 бр. |
| 11. R2 | Резистор 22Ω, 100Ω | 2 бр. |
| 12. R3 | Резистор (1÷4,7) Ω | 1 бр. |
